| Material Selection for IMO TYPE "C" TANK Unit : MPa | ||||||
| MATERIAL | Weld Metal(¿ëÁ¢ºÀ°µµ) | Allowable Membrane Stress(f) ¼±±ÞKR/LR | ||||
| Tensile Rm (=St) | Yield Re (=Sy) | Div.1 S | f = Min(Re/A, Rm/1.5) | f (Mpa) | A | |
| A1106(Hign Mn) | 660 | 400 | N/A | f = Min(660/3.5, 400/1.5) | 188.6 | 3.5 |
| A553-TYPE1 | 640 | 420 | 187.0 | f = Min(640/3.0, 420/1.5) | 213.3 | 3.0 |
| LT-FH32 | 440~570 | 315 | N/A | f = Min(440/3.0, 315/1.5) | 146.67 | |
| LT-FH36-TM | 490~630 | 355 | N/A | f = Min(490/3.0, 355/1.5) | 163.33 | |
| SA240-304 | 515 | 205 | 138 | f = Min(515/3.5, 205/1.5) | 136.66 | 3.5 |
| SA240-304L | 485 | 170 | 115 | f = Min(485/3.5, 170/1.5) | 113.33 | |
| SA240-316 | 515 | 205 | 138 | f = Min(515/3.5, 205/1.5) | 136.66 | |
| SA240-316L | 485 | 170 | 115 | f = Min(485/3.5, 170/1.5) | 113.33 | |
| SA516-60 | 410 | 215 | 118 | ASME SEC. VIII Div.1 Allowable Stress | ||
| SA516-70 | 485 | 260 | 138 | |||
| SA537-CL1 | 485 | 345 | 138 | |||
| SA537-CL2 | 550 | 415 | 158 | |||
/* ³×À̹ö ºí·Î±× https://m.blog.naver.com/back511/70032286820 https://blog.naver.com/jicsmlove/222390087093 ´ÙÀ½À¸·Î Èê¼ö ÀÔ´Ï´Ù. * ÇüÈê¼ö(T.mld) : Moulded Draft ¼±Ã¼°¡ ¼öÁß¿¡ Àá°ÜÀÖ´Â ºÎºÐÀ» ¸»Çϸç, ¿ë°ñÀÇ »ó¸é¿¡¼ ºÎÅÍ ¼ö¸é±îÁöÀÇ ¼öÁ÷°Å¸®¸¦ ÇüÈê¼ö(Moulded Draft)¶ó°í ÇÑ´Ù. (1) °èȹ¸¸ÀçÈê¼ö(Td; Design Draft) ÃÖÀûÀÇ ¿îÇ× Á¶°ÇÀ» °®µµ·Ï ¼±Á¤µÈ Èê¼ö·Î ´ëºÎºÐÀÇ °ÇÁ¶¼± ¼º´É º¸ÁõÀº °èȹ¸¸Àç¼ö¸¦ ±âÁØÀ¸·Î Æò°¡µÈ´Ù. (2) Ãִ븸ÀçÈê¼ö(Ts; Scantling Draft) ¼±Ã¼±¸Á¶ ¹× ¾ÈÀü»ó ȹ°ÀûÀç°¡ Çã¿ëµÇ´Â Èê¼ö·Î¼, Ãִ븸ÀçÈê¼ö(Ts)´Â °èȹ¸¸ÀçÈê¼ö(Td)¿Í °°Àº °æ¿ìµµ ÀÖ´Ù. (3) Ballast Draft(Tb) ȹ°À» ÀûÀçÇÏÁö¾Ê°í ÇØ¼ö·Î BallastingÇÏ¿© ¿îÇ×ÇϱâÀ§ÇÑ Èê¼ö·Î ȸÇ׽à Àû¿ëµÊ (4) (Full Load Draft) ¹èÀÇ Ç×ÇØ ¾ÈÀü»ó Çã¶ôµÇ´Â ÃÖ´ëÀÇ Èê¼öÀ» ¸¸ÀçÈê¼ö(Full Load Draft)¶ó ÇÏ°í ±× Èê¼ö¼±À» ¸¸ÀçÈê¼ö¼±(Load Line)À̶ó°í ÇÑ´Ù. ¸¸ÀçÈê¼ö¼±¿¡¼ °ÇÇö°©ÆÇ (Freeboard Deck)ÀÇ »ó¸éÀÇ ¿¬Àå¼±°ú ¿ÜÆÇÀÇ ¿Ü¸é°úÀÇ ±³Á¡±îÁöÀÇ ¼öÁ÷ °Å¸® ¸¦ °ÇÇö(Freeboard) À̶óÇϰí, À̰ÍÀº º¹¿ø·ÂÀ» Á¿ìÇÑ´Ù. ÇüÈê¼ö¿Í °ÇÇöÀ» ÇÕÇϸé Çü±íÀÌ¿Í °©ÆÇÀÇ µÎ²²¸¦ ÇÕÇÑ °Í°ú µ¿ÀÏÇÏ´Ù. ±×·¯¹Ç·Î ÀÏÁ¤ÇÑ ¹è¿¡¼ ¸¸ÀçÈê¼ö´Â °ÇÇöÀÇ Å©±â¿¡ Á¿ìµÈ´Ù. (5) À̰ÍÀÌ ¹ýÁ¦ÈµÈ °ÍÀº 1875³â ¿µ±¹¿¡¼ óÀ½À̾ú°í 1930³â°ú 1966³â¿¡ ±¹Á¦È¸ÀÇ (ICLL; International Convention On Load Line)°¡ °³ÃÖµÇ¾î ±¹Á¦¸¸ÀçÈê ¼ö¼± Á¶¾àÀÌ Ã¼°áµÇ¾ú´Ù. °ÇÇöÇ¥´Â ±¹Á¦ÀûÀ¸·Î ÅëÀϵǾî ÀÖ°í °¢±¹ Á¤ºÎ´Â ¼±±ÞÇùȸ¸¦ Ç¥½ÃÇÏ´Â ±ÛÀÚ¸¸ ´Ù¸£´Ù. ÀÌ»ó ¸î°¡Áö ¿ë¾îµéÀ» Á¤ÀÇÇÏ¿´´Âµ¥ ÀÏ´Ü Áú¹®À¸·Î µ¹¾Æ°¡¸é ±â¸§À» ¾çÇÏÇÑ ÈÄ¿¡ ¹°, ÇØ¼ö Áï ¹ß¶ó½ºÆ® ¿öÅ͸¦ ¿Ö ä¿ì´Â°¡ Àε¥.. ÀÏ´Ü È¹°À¯(Cargo Oil, Crude Oil)À» ¼±¹Ú¿¡¼ À°»óÀ¸·Î ¿ÏÀüÈ÷ ¾çÇÏÇÏ°Ô µÇ¸é ¹è°¡ °¡º¿ö Áý´Ï´Ù. ´ç¿¬È÷ ±×·¸°Ô µÇ¸é ¹è°¡ ¼ö¸éÀ¸·Î ¸¹ÀÌ ¶°¿À¸£°Ô µÇÁö¿ä. À̶§ ¸ÕÀú ¼³¸íµÈ °Íó·³ ÇÁ·ÎÆç·¯°¡ ¿ÏÀüÈ÷ Àá±âÁö ¾Ê¾Æ ÇÁ·ÎÆç·¯°¡ °øµ¿Çö»óµµ »ý±â±âµµ ÇÏ°í ±âŸ ¿©·¯°¡Áö ¼±¹ÚÀÌ Ç×ÇØÇÒ ¼ö ¾ø´Â Á¶°ÇÀÌ »ý±â°Ô µË´Ï´Ù. ù°·Î °øµ¿Çö»ó- »ý·«ÇÕ´Ï´Ù. ´Ù¸¥ºÐÀÌ Àß ¼³¸íÇØ µÎ¼Å¼.. µÑ°·Î º¹¿ø·Â ÀúÇÏ - ¹è°¡ ¶°¿À¸£°Ô µÇ¼ Èê¼ö(Draft)°¡ ³·¾ÆÁö°Ô µÇ¸é ¹èÀÇ ¹«°Ô°¡ ÀÛ°Ô µÇ´Â µ¿½Ã¿¡ ¹«°Ô Á߽ɰú ºÎ·ÂÀÇ Á᫐ ³ô±â ¶§¹®¿¡ Àüº¹µÉ ¿ì·Áµµ Ä¿Áö¸ç ¶ÇÇÑ º¹¿ø¼ºÀÌ ÀúÇÏÇÏ°Ô µÈ´Ù. ¸¸¾à °ø¼±½Ã ¹ß¶ó½ºÆ®°¡ Çϳªµµ ¾ø´Â »óŶó¸é ÀÛÀºÆÄµµ¿¡µµ ½±°Ô ³Ñ¾î°¡°Ô µÇ°ÚÁö¿ä? ¼Â°, Ç×ÇØ ¼º´ÉÀúÇÏ - ÀÏ´Ü ÇÁ·ÎÆç·¯°¡ ¿ÏÀüÈ÷ Àá±âÁö ¾Ê±â ¶§¹®¿¡ ÇÁ·ÎÆç·¯ÀÇ ÃßÁø¼º´ÉÀÌ ÀúÇϵÊÀº ´ç¿¬°ÚÁö¿ä? ÇÁ·ÎÆç·¯°¡ ¹è¼öÇÏ´Â ¾çÀÌ ÁÙ¾îµé »Ó¸¸ ¾Æ´Ï¶ó ¹Ý·Â¶ÇÇÑ °¨¼ÒÇϱ⠶§¹®ÀÔ´Ï´Ù. ±×¸®°í ¹«¾úº¸´Ù Áß¿äÇÑ °ÍÀº À§¿¡ ¼³¸íµÈ °èȹ ¸¸Àç Èê¼ö ÀÔ´Ï´Ù. ¼±¹ÚÀº °¡Àå °æÁ¦ÀûÀÌ¸é¼ »¡¸® ¿îÇ×ÇÒ ¼ö ÀÖ´Â ÃÖÀûÀÇ Èê¼ö°¡ ¼³°è ´Ü°è¿¡¼ °áÁ¤µÇ¾î ÀÖ½À´Ï´Ù. ¹è°¡ °¡º±´Ù°íÇØ¼ ºü¸¥°ÍÀº ¾Æ´Ï°í ¼±Çü, ÇÁ·ÎÆç·¯¹× ¿£ÁøÈ¿À², ¼ö½É, ¼±¹ÚÀÇ Áß·®µî ¿©·¯°¡Áö°¡ °í·Á´ë»óÀÌ µË´Ï´Ù. µû¶ó¼ ¸¸Àç »óÅ¿¡¼ ȹ°À» ¿ÏÀüÈ÷ À°»óÀ¸·Î ¾çÇÏÇÒ ¶§´Â ballast ¸¦ ÁÖ¼öÇÏ¿© °èȹ ¸¸Àç Èê¼ö¿¡ °¡±õµµ·Ï ballast draft¸¦ ¸ÂÃß¾î¾ß ÇÕ´Ï´Ù. µû¶ó¼ ¼±¹ÚÀÇ ±¸Á¶»ó À¯Á¶¼±À» ±âÁØÀ¸·Î º¼¶§ ȹ°À¯ ÅÊÅ©¿Ü¿¡ ¹ß¶ó½ºÆ® ÅÊÅ©°¡ µû·Î ±¸ºÐµÇ¾î ÀÖ½À´Ï´Ù. * ballasting : À§¿¡ ¼³¸íµÈ ballast waterÀûÀç¿¡ ´ëÇÑ ÁÖ¹è¼ö ÀÛ¾÷À» ballastingÀ̶ó°í ÇÕ´Ï´Ù. Å͹̳ο¡¼ ȹ°À» À°»óÀ¸·Î ¹èÃâÇÔ°ú µ¿½Ã¿¡ ¼±¹ÚÀÇ ÄÁµð¼Ç(¼±Ã¼ ÀÀ·Â, Èê¼öµîÀ» °í·Á)À» °í·ÁÇÏ¿© ¹ß¶ó½ºÆ® ¿öÅ͸¦ ÁÖ¹è¼ö ÇÏ°Ô µË´Ï´Ù. ±×³É ¸· ¹°À» ½Æ´Â°Ô ¾Æ´ÏÁö¿ä. ³ª¸§´ë·Î °íµµÀÇ ³ëÇÏ¿ì¿Í ±â¼úÀ» ÇÊ¿ä·Î ÇÕ´Ï´Ù. // Design draft vs Scantling draft // https://amarineblog.com/2017/08/12/design-draft-vs-scantling-draft/
|
IMO TYPE C Fuel Tank [°ßÀû°µµ°è»ê] ( 2021³â 10¿ù 15ÀÏ ¼öÁ¤ ) ( £í©÷¡¡£í©ø ¤§ £« £ ¡¿ ¡À ¡¾ ¡Â ¡Ã ^C ¡É ¢º ¤º ) | |||||||||||||||
| ¹øÈ£ | 0 sid | 1 no | 2 Descr | 3 Symbol | 4 Unit | 5 A1 | 6 A2 | 7 A3 | 8 A4 | 9 A5 | 10 A6 | 11 A7 | 12 A8 | 13 A9 | 14 A10 |
| 1 | 0 | 24 | [USED] Shell Thickness | tuShell = | mm | 22 | 22 | 15 | 18.0 | 20 | 16.0 | 16.0 | 16.0 | 16.0 | 18 |
| 2 | 0 | 25 | [USED] Head Thickness | tuHead = | mm | 11 | 9.0 | 20.0 | 9.0 | 9.0 | 9.0 | 9.0 | 9.0 | 9.0 | 10 |
| 3 | 0 | 50 | [¾ÆÁ÷] ¡¤Head Thk for External Pressure (Class) | tcH_LR = | mm | 22.0 | 22.0 | 15.0 | 18.0 | 20.0 | 16.0 | 16.0 | 16.0 | 16.0 | 18.0 |
| 4 | 0 | 51 | [¾ÆÁ÷] ¡¤Head Thk for External Pressure (ASME) | tcH_ASME = | mm | 11.0 | 9.0 | 20.0 | 9.0 | 9.0 | 9.0 | 9.0 | 9.0 | 9.0 | 10.0 |
| 5 | 0 | 103 | ¡¡¡¤Shell Thk(ASME)¡¡¡¡ tdCyl = P¡¤R/( S¡¤E - 0.6P )+CA | tdS__ASME = | mm | 8.33 | 9.91 | 14.14 | 10.29 | 17.53 | 13.92 | 14.65 | 16.14 | 27.17 | 15.77 |
| 6 | 0 | 104 | ¡¡¡¤Head Thk(ASME)¡¡¡¡tdHead = P¡¤R/(2¡¤S¡¤E - 0.2P)+CA | tdH_ASME = | mm | 4.66 | 5.45 | 7.56 | 5.51 | 9.13 | 7.45 | 7.82 | 8.56 | 14.06 | 8.38 |
| 7 | 0 | 106 | ¡¡¡¤Shell Thk(LR)¡¡¡¡ tdCyl = P¡¤R/( f¡¤E - 0.5P )+0.75 | tdS_LR = | mm | 9.02 | 10.69 | 15.38 | 11.07 | 19.12 | 15.01 | 15.84 | 17.53 | 29.43 | 16.17 |
| 8 | 0 | 107 | ¡¡¡¤Head Thkk(LR),¡¡tdHead = P¡¤R/(2¡¤f¡¤E - 0.5P)+0.75 | tdH_LR = | mm | 5.01 | 5.84 | 8.19 | 5.91 | 9.93 | 8.0 | 8.42 | 9.26 | 15.2 | 8.58 |
| 9 | 0 | 110 | ¡¡¡¤Shell Thk(ASME)¡¡ ttCyl = Pt¡¤R/( St¡¤E - 0.6Pt )+0 | ttS_ASME = | mm | 6.85 | 7.7 | 12.33 | 8.9 | 13.28 | 10.18 | 10.79 | 12.02 | 30.52 | 13.48 |
| 10 | 0 | 111 | ¡¡¡¤Head Thk(ASME), ttHead = Pt¡¤R/(2¡¤St¡¤E - 0.2Pt)+0 | ttH_ASME = | mm | 3.42 | 3.84 | 6.16 | 4.44 | 6.63 | 5.09 | 5.39 | 6.0 | 15.22 | 6.73 |
| 11 | 0 | 113 | ¡¡¡¤Shell Thk(LR)¡¡¡¡ ttCyl = Pt¡¤R/( f¡¤E - 0.5Pt )+0 | ttS_LR = | mm | 8.26 | 9.17 | 15.23 | 10.64 | 16.4 | 12.24 | 13.02 | 14.64 | 36.81 | 15.13 |
| 12 | 0 | 114 | ¡¡¡¤Head Thkk(LR),¡¡ttHead = Pt¡¤R/(2¡¤f¡¤E - 0.5Pt)+0 | ttH_LR = | mm | 4.13 | 4.58 | 7.61 | 5.32 | 8.19 | 6.11 | 6.51 | 7.31 | 18.38 | 7.56 |
| 13 | 0 | 116 | ¡¤1) External Pressure (Class) : | tcS_LR = | mm | 15.50 | 14.00 | 17.50 | 14.50 | 18.00 | 16.00 | 16.50 | 17.00 | 18.00 | 16.50 |
| 14 | 0 | 120 | ¡¡¡¤Check | Pe < Pcr | OK | OK | OK | OK | OK | OK | OK | OK | OK | OK | |
| 15 | 0 | 121 | ¡¤2) External Pressure (ASME) : | tcS_ASME = | mm | 15.00 | 13.00 | 16.50 | 14.00 | 16.50 | 15.00 | 15.50 | 16.00 | 17.00 | 16.00 |
| 16 | 0 | 125 | ¡¡¡¤Check Pe < ASME_Pa | CHECK = | OK | OK | OK | OK | OK | OK | OK | OK | OK | OK |
| Q | Q | Q | Description | Symbol | Unit | S&SYS | S&SYS | SHI/12m | SHI/9m | SHI/SN2430/VLCC | SN-XXXX | SN-XXXX | SN-XXXX | SN-XXXX | SN-010 |
| 0 | 0 | 106 | ¡¡¡¤Shell Thk(Class)¡¡¡¡ tdS = P¡¤R/( f¡¤E - 0.5P )+0.75 | tdS_Class = | mm | 9.02 | 10.69 | 15.38 | 11.07 | 19.12 | 15.01 | 15.84 | 17.53 | 29.43 | 16.17 |
| 1 | 0 | 113 | ¡¡¡¤Shell Thk(Class)¡¡¡¡ ttS = Pt¡¤R/( f¡¤E - 0.5Pt )+0 | ttS_Class = | mm | 8.26 | 9.17 | 15.23 | 10.64 | 16.4 | 12.24 | 13.02 | 14.64 | 36.81 | 15.13 |
| 2 | 0 | 116 | ¡¤1) External Pressure (Class) : | tcS_Class = | mm | 15.50 | 14.00 | 17.50 | 14.50 | 18.00 | 16.00 | 16.50 | 17.00 | 18.00 | 16.50 |
| 3 | 0 | 103 | ¡¡¡¤Shell Thk(ASME)¡¡¡¡ tdS = P¡¤R/( S¡¤E - 0.6P )+CA | tdS__ASME = | mm | 8.33 | 9.91 | 14.14 | 10.29 | 17.53 | 13.92 | 14.65 | 16.14 | 27.17 | 15.77 |
| 4 | 0 | 110 | ¡¡¡¤Shell Thk(ASME)¡¡ ttS = Pt¡¤R/( St¡¤E - 0.6Pt )+0 | ttS_ASME = | mm | 6.85 | 7.7 | 12.33 | 8.9 | 13.28 | 10.18 | 10.79 | 12.02 | 30.52 | 13.48 |
| 5 | 0 | 121 | ¡¤2) External Pressure (ASME) : | tcS_ASME = | mm | 15.00 | 13.00 | 16.50 | 14.00 | 16.50 | 15.00 | 15.50 | 16.00 | 17.00 | 16.00 |
| 6 | 0 | 24 | [USED] Shell Thickness | tuShell = | mm | 22 | 22 | 15 | 18.0 | 20 | 16.0 | 16.0 | 16.0 | 16.0 | 18 |
| 7 | 0 | 120 | ¡¡¡¤Check | Pe < Pcr | OK | OK | OK | OK | OK | OK | OK | OK | OK | OK | |
| 8 | 0 | 107 | ¡¡¡¤Head Thkk(Class),¡¡tdHead = P¡¤R/(2¡¤f¡¤E - 0.5P)+0.75 | tdH_Class = | mm | 5.01 | 5.84 | 8.19 | 5.91 | 9.93 | 8.0 | 8.42 | 9.26 | 15.2 | 8.58 |
| 9 | 0 | 114 | ¡¡¡¤Head Thkk(Class),¡¡ttHead = Pt¡¤R/(2¡¤f¡¤E - 0.5Pt)+0 | ttH_Class = | mm | 4.13 | 4.58 | 7.61 | 5.32 | 8.19 | 6.11 | 6.51 | 7.31 | 18.38 | 7.56 |
| 10 | 0 | 50 | [¾ÆÁ÷] ¡¤Head Thk for External Pressure (Class) | tcH_Class = | mm | 22.0 | 22.0 | 15.0 | 18.0 | 20.0 | 16.0 | 16.0 | 16.0 | 16.0 | 18.0 |
| 11 | 0 | 104 | ¡¡¡¤Head Thk(ASME)¡¡¡¡tdHead = P¡¤R/(2¡¤S¡¤E - 0.2P)+CA | tdH_ASME = | mm | 4.66 | 5.45 | 7.56 | 5.51 | 9.13 | 7.45 | 7.82 | 8.56 | 14.06 | 8.38 |
| 12 | 0 | 111 | ¡¡¡¤Head Thk(ASME), ttHead = Pt¡¤R/(2¡¤St¡¤E - 0.2Pt)+0 | ttH_ASME = | mm | 3.42 | 3.84 | 6.16 | 4.44 | 6.63 | 5.09 | 5.39 | 6.0 | 15.22 | 6.73 |
| 13 | 0 | 51 | [¾ÆÁ÷] ¡¤Head Thk for External Pressure (ASME) | tcH_ASME = | mm | 11.0 | 9.0 | 20.0 | 9.0 | 9.0 | 9.0 | 9.0 | 9.0 | 9.0 | 10.0 |
| 14 | 0 | 25 | [USED] Head Thickness | tuHead = | mm | 11 | 9.0 | 20.0 | 9.0 | 9.0 | 9.0 | 9.0 | 9.0 | 9.0 | 10 |
| 15 | 0 | 125 | ¡¡¡¤Check Pe < ASME_Pa | CHECK = | OK | OK | OK | OK | OK | OK | OK | OK | OK | OK | |
| Part | Formula | Required thickness | Forming margin | Mill minus tolerance | Effective thickness Te =Tn-c1-c2 | Nominal thickness | Checck |
| Symbol | tReqd | c1 | c2 | Te | Tn | tReqd < Tn | |
| Tank Shell | Tshell = P¡¤R/( f¡¤E - 0.5P )+0.75 | 16.76 | 0.5 | 0 | 16.5 | 17.00 | OK |
| Hemi-Head | Thead = P¡¤R/(2¡¤f¡¤E - 0.5P)+0.75 | 8.75 | 1.53mm ( 17 %) | 0 | 8.97 | 10.5 | OK |
| Dome Shell | Tdome = P¡¤R/( f¡¤E - 0.5P )+0.75 | 16.76 | 0.5 | 0 | 16.5 | 17.00 | OK |
| Dome (2:1) Head | Tdhead = P¡¤R/(2¡¤f¡¤E - 0.5P)+0.75 | 8.75 | 1.53mm ( 17 %) | 0 | 8.97 | 10.5 | OK |
| Design parameter of ship motion : | |||
![]() | |||
| Lo = length of the ship for determination of scantlings as defined in ¡¡¡¡¡¡recognized standards (m); ¼±¹ÚÀÇ ÃÖ´ë ±æÀÌ | Lo = | 100.0 | m |
| B = greatest moulded breadth of the ship (m); ¼±¹ÚÀÇ ÃÖ´ë Æø | B = | 15.8 | m |
| x = longitudinal distance (m) from amidships to the centre of gravity of ¡¡¡¡¡¡the tank with contents; x is positive forward of amidships, negative ¡¡¡¡¡¡aft of amidships; ¼±¹ÚÀÇ Áß¾Ó ¿¡¼ Tank ÀÇ Á߽ɱîÁö °Å¸®, ¼±¼ö¹æÇâÀ» Á¤(+), ¼±¹Ì¹æÇâÀ» ºÎ(-) | x = | 9.5 | m |
| y = transverse distance (m) from centreline to the centre of gravity of ¡¡¡¡¡¡the tank with contents; ¼±¹ÚÀÇ È¾¹æÇâ Áß¾Ó¿¡¼ Tank ÀÇ Á߽ɱîÁö ¶³¾îÁø °Å¸® | y = | 0.0 | m |
| z = vertical distance (m) from the ship's actual waterline to the centre ¡¡¡¡¡¡of gravity of tank with contents; z is positive above and negative ¡¡¡¡¡¡below the waterline; ¼±¹ÚÀÇ Èê¼ö¼±¿¡¼ Tank ÀÇ Á߽ɱîÁö ³ôÀÌ, Ȧ¼ö¼±»óÀ¸·ÎºÎÅÍ »óÀ» Á¤(+), Çϸ¦ ºÎ(-) | z = | -0.677 | m |
| CB = block coefficient; [help] | CB = | 0.709 | |
| K = 1 in general. For particular loading conditions and hull forms, ¡¡¡¡¡¡determination of K according to the following formula may be necessary; ¡¡¡¡¡¡K = 13*GM/B, where K ¡Ã 1 and GM = metacentric height, GM = 1.2154 (m); |
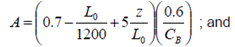
K = | 1.0 | |
![]() | A = | 0.493 | |
| V = service speed (knots); | V = | 16.0 | knots |
| Acceleration due to ship's motions : | |||
¡¡![]() ¡¡¡¡¡¡¡¡¡¡¡¡¡¡¡¡ | az = | 0.7061 | g¡¡ ¡¡ ¡¡ |
| ay = | 0.7594 | g | |
| ax = | 0.2545 | g | |
| a0 = | 0.6000 | g | |
| 1. Design Data | ||||
| Description | Symbol | Cylinder | BI-LOBE | Unit |
| Tank Dia. | D = | 7800 | mm | |
| Design Liquiod level | DLL = | 6500 | mm | |
| Radius of tank | R = | 3900 | mm | |
| Tank center to Swash Bulk Head (For Bilobe) | C = | 0 | 2650 | mm |
| Dimension x, (Tank T.L to T.L) | x = | 14400 | mm | |
| Dimension y | y = | 2906.9 | mm | |
| Dimension z, z = DLL - R | z = | 2600 | mm | |
| Tank Total Length | L=2R+x | 22200 | mm | |
| 2. Internal liquid pressure calculation [ as per IGC CODE] | ||||
| Design Internal pressure ( Design Data ) | Po = | 4.0 | bar.g | |
| MARVS ( Design Data ) | MARVS = | 3.2 | bar.g | |
| Internal liquid pressure ( Calculated IGC CODE ) ¡¡¡¡ Pgd(max) = Max(Pgd_x, Pgd_y) | Pgd(max) = | 0.7245 | bar.g | |
| Total Design Pressure : Peq = Po + (Pgd)max | Peq = | 4.7245 | bar.g | |
| Description | Symbol | Y-Z plane | X-Z plane | Unit |
| ¡¡Pgd : Internal liquid pressure ( IGC 4.28.1.2 ) ¡¡¡¡¡¡¡¡Pgd = a¥â ¡¤ Z¥â ¡¤ ( ¥ñ / 10-4 ) [bar.g] | Pgd = | 0.7245 | 0.6081 | bar.g |
| ¡¡ ¥ñ : Design Density of LNG | ¥ñ = | 500 | 500 | kg/m©ø |
| ¡¡a¥â : dimensionless acceleration, resulting from gravitational ¡¡¡¡¡¡¡¡¡¡and dynamic loads in an arbitrary direction ¥â | a¥â = | 1.4936 | 1.5524 | g |
| ¡¡Z¥â : largest liquid height (m) above the point where the pressure is to be determined ¡¡¡¡¡¡¡¡¡¡measured from the Tank shell in the ¥â direction | Z¥â = | 9.896 | 7.991 | m |
| ¡¡¥â : angles of resulting acceleration vector in relative to the vertical plane | ¥â = | 26 | 6 | deg. |
| ¡¡¥âmax : maximum angle (Full Loading Condition) | ¥âmax = | 47.002 | 19.769 | deg. |
| ¡¡¥â = ¥âmax(FWD) : Maximum angle (Collision Crash Stop), ax = 0.5g ¡¡¥â = ¥âmax(AFD) : Maximum angle (Collision Crash Stop), ax = -0.25g | ¥âmax = | 26.565 14.036 | deg. deg. | |
![]() | ||||
| 3.1 Dynamic Pressure Calculation Result (Max. Accelation and Max. Pgd(Max) | |||||||||||||||
| Sloshing Load Calculation (Full loading) |
Collision Crash Stop(FWD) ax = 0.5g |
Collision Crash Stop(AFD) ax =£0.25g | |||||||||||||
| Transverse (y-z plane) | Longitudinal (x-z plane) |
Longitudinal (x-z plane) | Longitudinal (x-z plane) | ||||||||||||
| ¥â deg | a¥â | Z¥â (m) | Pgd (bar.g) | ¥â deg | a¥â | Z¥â (m) | Pgd (bar.g) | ¥â deg | a¥â | Z¥â (m) | Pgd (bar.g) | ¥â deg | a¥â | Z¥â (m) | Pgd (bar.g) |
| 26 | 1.4936 | 9.8957 | 0.7245 | 6 | 1.5524 | 7.9910 | 0.6081 | 26.565 | 1.1180 | 12.6654 | 0.6941 | 14.036 | 1.0308 | 9.9148 | 0.5010 |
| 3.2 Dynamic Pressure Calculation by Each Angle | |||||||||||||||
| Sloshing Load Calculation (Full loading) |
Collision Crash Stop(FWD) ax = 0.5g |
Collision Crash Stop(AFD) ax =£0.25g | |||||||||||||
| (Ãø¸é) Transverse (y-z plane) | (±æÀÌ) Longitudinal (x-z plane) | (±æÀÌ) Longitudinal (x-z plane) | (±æÀÌ) Longitudinal (x-z plane) | ||||||||||||
| ¥â deg | a¥â | Z¥â (m) | Pgd (bar.g) | ¥â deg | a¥â | Z¥â (m) | Pgd (bar.g) | ¥â deg | a¥â | Z¥â (m) | Pgd (bar.g) | ¥â deg | a¥â | Z¥â (m) | Pgd (bar.g) |
| 0 | 1.7061 | 6.500 | 0.5436 | 0 | 1.7061 | 6.500 | 0.5436 | 0 | 1.0000 | 6.500 | 0.3186 | 0 | 1.0000 | 6.500 | 0.3186 |
| 1 | 1.7058 | 6.643 | 0.5555 | 1 | 1.7015 | 6.751 | 0.5631 | 1 | 1.0002 | 6.751 | 0.3310 | 1 | 1.0002 | 6.751 | 0.3310 |
| 2 | 1.7050 | 6.785 | 0.5671 | 2 | 1.6880 | 7.001 | 0.5793 | 2 | 1.0006 | 7.001 | 0.3434 | 2 | 1.0006 | 7.001 | 0.3434 |
| 3 | 1.7036 | 6.926 | 0.5784 | 3 | 1.6657 | 7.250 | 0.5920 | 3 | 1.0014 | 7.250 | 0.3559 | 3 | 1.0014 | 7.250 | 0.3559 |
| 4 | 1.7016 | 7.066 | 0.5894 | 4 | 1.6352 | 7.498 | 0.6010 | 4 | 1.0024 | 7.498 | 0.3684 | 4 | 1.0024 | 7.498 | 0.3684 |
| 5 | 1.6990 | 7.205 | 0.6001 | 5 | 1.5972 | 7.745 | 0.6064 | 5 | 1.0038 | 7.745 | 0.3811 | 5 | 1.0038 | 7.745 | 0.3811 |
| 6 | 1.6959 | 7.344 | 0.6105 | 6 | 1.5524 | 7.991 | 0.6081 | 6 | 1.0055 | 7.991 | 0.3939 | 6 | 1.0055 | 7.991 | 0.3939 |
| 7 | 1.6922 | 7.481 | 0.6205 | 7 | 1.5018 | 8.236 | 0.6063 | 7 | 1.0075 | 8.236 | 0.4067 | 7 | 1.0075 | 8.236 | 0.4067 |
| 8 | 1.6879 | 7.617 | 0.6302 | 8 | 1.4462 | 8.479 | 0.6011 | 8 | 1.0098 | 8.479 | 0.4197 | 8 | 1.0098 | 8.479 | 0.4197 |
| 9 | 1.6830 | 7.752 | 0.6395 | 9 | 1.3865 | 8.721 | 0.5927 | 9 | 1.0125 | 8.721 | 0.4328 | 9 | 1.0125 | 8.721 | 0.4328 |
| 10 | 1.6776 | 7.886 | 0.6485 | 10 | 1.3235 | 8.961 | 0.5814 | 10 | 1.0154 | 8.961 | 0.4460 | 10 | 1.0154 | 8.961 | 0.4460 |
| 11 | 1.6715 | 8.018 | 0.6570 | 11 | 1.2579 | 9.200 | 0.5673 | 11 | 1.0187 | 9.200 | 0.4594 | 11 | 1.0187 | 9.200 | 0.4594 |
| 12 | 1.6649 | 8.150 | 0.6651 | 12 | 1.1904 | 9.437 | 0.5507 | 12 | 1.0223 | 9.437 | 0.4729 | 12 | 1.0223 | 9.437 | 0.4729 |
| 13 | 1.6576 | 8.280 | 0.6727 | 13 | 1.1215 | 9.673 | 0.5318 | 13 | 1.0263 | 9.673 | 0.4866 | 13 | 1.0263 | 9.673 | 0.4866 |
| 14 | 1.6494 | 8.413 | 0.6802 | 14 | 1.0490 | 9.915 | 0.5098 | 14 | 1.0308 | 9.915 | 0.5010 | 14.036 | 1.0308 | 9.915 | 0.5010 |
| 15 | 1.6412 | 8.536 | 0.6867 | 15 | 0.9806 | 10.138 | 0.4873 | 15 | 1.0353 | 10.138 | 0.5145 | ||||
| 16 | 1.6321 | 8.661 | 0.6930 | 16 | 0.9083 | 10.368 | 0.4617 | 16 | 1.0403 | 10.368 | 0.5287 | ||||
| 17 | 1.6223 | 8.786 | 0.6987 | 17 | 0.8339 | 10.596 | 0.4332 | 17 | 1.0457 | 10.596 | 0.5432 | ||||
| 18 | 1.6119 | 8.909 | 0.7039 | 18 | 0.7551 | 10.823 | 0.4006 | 18 | 1.0515 | 10.823 | 0.5578 | ||||
| 19 | 1.6008 | 9.030 | 0.7086 | 19.769 | 0.6649 | 11.046 | 0.3600 | 19 | 1.0576 | 11.046 | 0.5727 | ||||
| 20 | 1.5890 | 9.150 | 0.7127 | 20 | 1.0642 | 11.268 | 0.5878 | ||||||||
| 21 | 1.5765 | 9.268 | 0.7163 | 21 | 1.0711 | 11.488 | 0.6032 | ||||||||
| 22 | 1.5633 | 9.385 | 0.7192 | 22 | 1.0785 | 11.705 | 0.6188 | ||||||||
| 23 | 1.5494 | 9.500 | 0.7215 | 23 | 1.0864 | 11.920 | 0.6348 | ||||||||
| 24 | 1.5348 | 9.613 | 0.7233 | 24 | 1.0946 | 12.132 | 0.6510 | ||||||||
| 25 | 1.5193 | 9.725 | 0.7243 | 25 | 1.1034 | 12.342 | 0.6676 | ||||||||
| 26 | 1.4936 | 9.896 | 0.7245 | 26.565 | 1.1180 | 12.665 | 0.6941 | ||||||||
| 27 | 1.4861 | 9.942 | 0.7243 | ||||||||||||
| 28 | 1.4682 | 10.049 | 0.7232 | ||||||||||||
| 29 | 1.4494 | 10.153 | 0.7213 | ||||||||||||
| 30 | 1.4298 | 10.255 | 0.7188 | ||||||||||||
| 31 | 1.4091 | 10.356 | 0.7153 | ||||||||||||
| 32 | 1.3875 | 10.454 | 0.7110 | ||||||||||||
| 33 | 1.3648 | 10.550 | 0.7058 | ||||||||||||
| 34 | 1.3409 | 10.645 | 0.6997 | ||||||||||||
| 35 | 1.3159 | 10.737 | 0.6926 | ||||||||||||
| 36 | 1.2895 | 10.827 | 0.6844 | ||||||||||||
| 37 | 1.2618 | 10.916 | 0.6752 | ||||||||||||
| 38 | 1.2324 | 11.002 | 0.6646 | ||||||||||||
| 39 | 1.2014 | 11.085 | 0.6528 | ||||||||||||
| 40 | 1.1683 | 11.167 | 0.6395 | ||||||||||||
| 41 | 1.1328 | 11.246 | 0.6245 | ||||||||||||
| 42 | 1.0946 | 11.324 | 0.6076 | ||||||||||||
| 43 | 1.0527 | 11.399 | 0.5882 | ||||||||||||
| 44 | 1.0060 | 11.471 | 0.5657 | ||||||||||||
| 45 | 0.9520 | 11.542 | 0.5386 | ||||||||||||
| 46 | 0.8842 | 11.610 | 0.5032 | ||||||||||||
| 47.002 | 0.7408 | 11.675 | 0.4240 | ||||||||||||

var Di = 2210;
var Ri = Di / 2;
var DLL = 1853;
var z = 552.5 ;
var C = 2 * 552.5 / 2210;
C = 0.5;
var V_one_head = Math.pow(Di,3) * C * ( Math.PI / 12) * ( 3 * Math.pow((DLL / Di ),2) - 2 * Math.pow((DLL/Di),3));
var V_Cylinder = L * ( Ri^2 * Math.acos((Ri-DLL)/Ri) - (Ri - DLL) * Math.sqrt(Di * DLL - Math.pow(DLL,2)));
var V = V_one_head + V_Cylinder;
https://stackoverflow.com/questions/2172798/how-to-draw-an-oval-in-html5-canvas There doesnt seem to be a native function to draw an oval-like shape. Also i am not looking for the egg-shape. Is it possible to draw an oval with 2 bezier curves? Somebody expierenced with that? My purpose is to draw some eyes and actually im just using arcs. Thanks in advance. Solution So scale() changes the scaling for all next shapes. Save() saves the settings before and restore is used to restore the settings to draw new shapes without scaling. Thanks to Jani ctx.save(); ctx.scale(0.75, 1); ctx.beginPath(); ctx.arc(20, 21, 10, 0, Math.PI*2, false); ctx.stroke(); ctx.closePath(); ctx.restore();
|
Wall thickness calculation of Sphere
according ASME |
||||||||||||||
| Allowable stress | S = | 175.2 = | 175.20 N/mm©÷ | |||||||||||
| Corroded thickness | tc = t - Ca - tol = | 8.2 - 1 - 1.03 = | 6.17 mm | |||||||||||
| Sphere: | ||||||||||||||
| Corroded inside radius |
|
|
103.38 mm | |||||||||||
| 1. | Cylinder Shell : £«£¡¿¡À Required wall thickness |
|
| 0.15 mm | ||||||||||
| 2. | Spherical Head : Required wall thickness |
|
| 0.15 mm | ||||||||||
| 3. | 2:1 Ellipsoidal Head : Required wall thickness |
|
| 0.15 mm | ||||||||||
| 3. | 10% Dish Head : Required wall thickness |
|
| 0.15 mm | ||||||||||
| Nominal required thickness | trn = tr + Ca + tol = | 0.148 + 1 + 1.03 = | 2.18 mm | |||||||||||
| Max. Allowable Working Press. |
|
|
20.67 N/mm©÷ | |||||||||||
| Thickness analysis, t > trn ? | t = 8.2 mm is OK | |||||||||||||
| Weight | 9.00 kg | |||||||||||||
| Enclosed volume | 0.004 m3 | |||||||||||||